トップページ |
統計学の解釈学 |
このサイトについて
以下は、筆者の私見です。 誤解があれば、ご教示いただけると幸いです。
ARモデル は 時系列分析 の教科書で必ずと言って良いほど紹介されます。
このページでは、ARモデルについて、筆者が気が付いたことを説明します。 先行研究があるかもしれませんが、筆者は見かけたことがないです。
それは、「ARモデルは、ランダムウォークモデルを平滑化したもの」という点です。
平均が0、標準偏差が1の乱数を、約10000個作ります。
それらを使って、ARモデルの代表的な2つのタイプで仮説を検証しています。
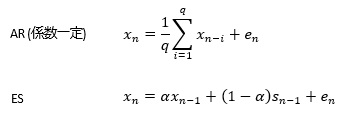
ひとつのタイプは、ARモデルの係数がすべて同じで、かつ、係数の合計が1になる場合です。 このページでは、このタイプを「AR(q)」と呼ぶことにします。 一般的には、「AR(v)」と書く時は、vは、項の数を表しますが、ここで使うqは、項の数だけでなく、係数の計算に使う分母も表します。
もうひとつのタイプは、
指数平滑法
です。
ここでは、指数平滑法を直近のデータほど重みを付けたARモデルとして使います。
「ES」と呼ぶことにします。
AR(1)と、ES(α=0)は一致します。 これらは、ランダムウォークモデルと同じです。
ARでは、qが増えるほど、ESでは、αが増えるほど、ランダムウォークモデルよりも変動が小さく、 滑らかな変化をしています。 このページのタイトルの「平滑化」は、この様子を表現しています。
qやαが増えるほど、0の近傍を推移するようになります。 この理由は、乱数の平均が0であるためです。
qやαが増えるほど、遠い過去の乱数との平均を計算する形になるため、0に近付きます。
MAモデルは、項が増えるほど、遠い過去の乱数との平均を計算する形になるため、乱数の平均が0なら、0に近付きます。 この点が、ARモデルと似ています。
ARモデルと一般化したランダムウォークモデルは、だいたい同じ
